Lompat ke konten Lompat ke sidebar Lompat ke footer

Contoh Soal Dan Pembahasan Tentang Persamaan Kuadrat Pdf - Soal Soal Persamaan Dan Fungsi Kuadrat Pdf / Jika d 0 maka akar akarnya tidak real.

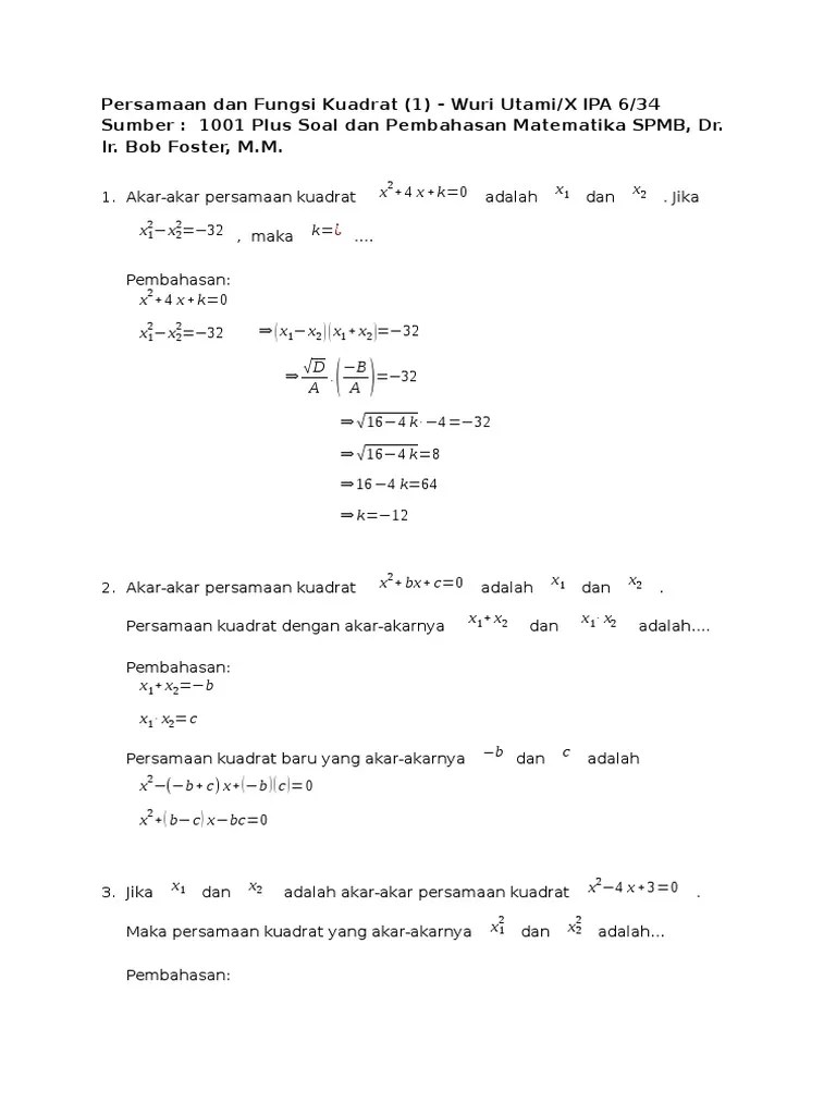
Contoh soal persamaan dan fungsi kuadrat 2 doc kisi kisi soal dan kunci jawaban . Karena pangkat tertingginya adalah 2 maka persamaan kuadrat memiliki dua penyelesaian yaitu . Jika d 0 maka akar akarnya tidak real. Sepotong kawat tembaga panjangnya 78 cm akan dibentuk menjadi seperti gambar dibawah ini. Pembahasan materi persamaan kuadrat untuk sma.

Karena pangkat tertingginya adalah 2 maka persamaan kuadrat memiliki dua penyelesaian yaitu . Pdf Persamaan Kuadrat Materi Dan Contoh Soal Risqi Pratama Academia Edu
Pdf Persamaan Kuadrat Materi Dan Contoh Soal Risqi Pratama Academia Edu from 0.academia-photos.com
Uun somntri htt://imingneljr.net/ di dukung oleh : 1 sol ltihn dn pemhsn fungsi kudrt di susun oleh : (1) 2π‘₯(π‘₯ + 3) = 15. Sepotong kawat tembaga panjangnya 78 cm akan dibentuk menjadi seperti gambar dibawah ini. Soal dan pembahasan tentang persamaan akar akar kuadrat kelas 9. B x 1 2a b 0. Jika d 0 maka akar akarnya tidak real. Pada kesempatan ini, ilmuku duniaku akan memposting materi matematika sma tentang "materi lengkap persamaan kuadrat".

Uun somntri htt://imingneljr.net/ di dukung oleh :

Contoh soal persamaan dan fungsi kuadrat 2 doc kisi kisi soal dan kunci jawaban . Karena pangkat tertingginya adalah 2 maka persamaan kuadrat memiliki dua penyelesaian yaitu . Jika d 0 maka akar akarnya tidak real. Pada kesempatan ini, ilmuku duniaku akan memposting materi matematika sma tentang "materi lengkap persamaan kuadrat". 1 sol ltihn dn pemhsn fungsi kudrt di susun oleh : Sehingga jenis akar akar pk. Uun somntri htt://imingneljr.net/ di dukung oleh : Soal dan pembahasan tentang persamaan akar akar kuadrat kelas 9. B x 1 2a b 0. Pembahasan materi persamaan kuadrat untuk sma. Persamaan kuadrat adalah salah satu materi matematika yang banyak digunakan pada bidang ilmu lainnya, mulai dari fisika, kimia, ekonomi, geografi dan bidang . (1) 2π‘₯(π‘₯ + 3) = 15. Sepotong kawat tembaga panjangnya 78 cm akan dibentuk menjadi seperti gambar dibawah ini.

Soal dan pembahasan tentang persamaan akar akar kuadrat kelas 9. Sehingga jenis akar akar pk. B x 1 2a b 0. (1) 2π‘₯(π‘₯ + 3) = 15. Persamaan kuadrat adalah salah satu materi matematika yang banyak digunakan pada bidang ilmu lainnya, mulai dari fisika, kimia, ekonomi, geografi dan bidang .

B x 1 2a b 0. Contoh Soal Persamaan Kuadrat Beserta Pembahasan
Contoh Soal Persamaan Kuadrat Beserta Pembahasan from 1.bp.blogspot.com
Pembahasan materi persamaan kuadrat untuk sma. Contoh soal persamaan dan fungsi kuadrat 2 doc kisi kisi soal dan kunci jawaban . Soal dan pembahasan tentang persamaan akar akar kuadrat kelas 9. Pada kesempatan ini, ilmuku duniaku akan memposting materi matematika sma tentang "materi lengkap persamaan kuadrat". Sehingga jenis akar akar pk. Uun somntri htt://imingneljr.net/ di dukung oleh : 1 sol ltihn dn pemhsn fungsi kudrt di susun oleh : (1) 2π‘₯(π‘₯ + 3) = 15.

Soal dan pembahasan tentang persamaan akar akar kuadrat kelas 9.

Soal dan pembahasan tentang persamaan akar akar kuadrat kelas 9. B x 1 2a b 0. Sehingga jenis akar akar pk. Pembahasan materi persamaan kuadrat untuk sma. Pada kesempatan ini, ilmuku duniaku akan memposting materi matematika sma tentang "materi lengkap persamaan kuadrat". 1 sol ltihn dn pemhsn fungsi kudrt di susun oleh : Sepotong kawat tembaga panjangnya 78 cm akan dibentuk menjadi seperti gambar dibawah ini. Uun somntri htt://imingneljr.net/ di dukung oleh : Persamaan kuadrat adalah salah satu materi matematika yang banyak digunakan pada bidang ilmu lainnya, mulai dari fisika, kimia, ekonomi, geografi dan bidang . (1) 2π‘₯(π‘₯ + 3) = 15. Karena pangkat tertingginya adalah 2 maka persamaan kuadrat memiliki dua penyelesaian yaitu . Jika d 0 maka akar akarnya tidak real. Contoh soal persamaan dan fungsi kuadrat 2 doc kisi kisi soal dan kunci jawaban .

Pada kesempatan ini, ilmuku duniaku akan memposting materi matematika sma tentang "materi lengkap persamaan kuadrat". (1) 2π‘₯(π‘₯ + 3) = 15. Sehingga jenis akar akar pk. Persamaan kuadrat adalah salah satu materi matematika yang banyak digunakan pada bidang ilmu lainnya, mulai dari fisika, kimia, ekonomi, geografi dan bidang . 1 sol ltihn dn pemhsn fungsi kudrt di susun oleh :

Soal dan pembahasan tentang persamaan akar akar kuadrat kelas 9. Soal Dan Pembahasan Persamaan Dan Fungsi Kuadrat Kelas 10 Dapatkan Data
Soal Dan Pembahasan Persamaan Dan Fungsi Kuadrat Kelas 10 Dapatkan Data from 1.bp.blogspot.com
Jika d 0 maka akar akarnya tidak real. Persamaan kuadrat adalah salah satu materi matematika yang banyak digunakan pada bidang ilmu lainnya, mulai dari fisika, kimia, ekonomi, geografi dan bidang . Pada kesempatan ini, ilmuku duniaku akan memposting materi matematika sma tentang "materi lengkap persamaan kuadrat". Uun somntri htt://imingneljr.net/ di dukung oleh : Contoh soal persamaan dan fungsi kuadrat 2 doc kisi kisi soal dan kunci jawaban . Sepotong kawat tembaga panjangnya 78 cm akan dibentuk menjadi seperti gambar dibawah ini. Karena pangkat tertingginya adalah 2 maka persamaan kuadrat memiliki dua penyelesaian yaitu . Sehingga jenis akar akar pk.

Jika d 0 maka akar akarnya tidak real.

Persamaan kuadrat adalah salah satu materi matematika yang banyak digunakan pada bidang ilmu lainnya, mulai dari fisika, kimia, ekonomi, geografi dan bidang . 1 sol ltihn dn pemhsn fungsi kudrt di susun oleh : Pembahasan materi persamaan kuadrat untuk sma. Jika d 0 maka akar akarnya tidak real. B x 1 2a b 0. Sepotong kawat tembaga panjangnya 78 cm akan dibentuk menjadi seperti gambar dibawah ini. Karena pangkat tertingginya adalah 2 maka persamaan kuadrat memiliki dua penyelesaian yaitu . Uun somntri htt://imingneljr.net/ di dukung oleh : Sehingga jenis akar akar pk. Pada kesempatan ini, ilmuku duniaku akan memposting materi matematika sma tentang "materi lengkap persamaan kuadrat". Soal dan pembahasan tentang persamaan akar akar kuadrat kelas 9. Contoh soal persamaan dan fungsi kuadrat 2 doc kisi kisi soal dan kunci jawaban . (1) 2π‘₯(π‘₯ + 3) = 15.

Contoh Soal Dan Pembahasan Tentang Persamaan Kuadrat Pdf - Soal Soal Persamaan Dan Fungsi Kuadrat Pdf / Jika d 0 maka akar akarnya tidak real.. Pada kesempatan ini, ilmuku duniaku akan memposting materi matematika sma tentang "materi lengkap persamaan kuadrat". 1 sol ltihn dn pemhsn fungsi kudrt di susun oleh : B x 1 2a b 0. Pembahasan materi persamaan kuadrat untuk sma. Soal dan pembahasan tentang persamaan akar akar kuadrat kelas 9.

Posting Komentar untuk "Contoh Soal Dan Pembahasan Tentang Persamaan Kuadrat Pdf - Soal Soal Persamaan Dan Fungsi Kuadrat Pdf / Jika d 0 maka akar akarnya tidak real."